data);f31(T->rchild);f31(T->lchild);}return;}(1)设二叉树T如图所示,给出执行f31(T)的输出结果。(2)给出该算法的时间复杂度。 _ 自考,成考学习,学历提升,考前押密,考前答题,选笔果题库就对了">
二叉树的存储结构类型定义如下:
typedef char DataType;
typedef struct node
{DataType data;//data是数据域
struct node*lchild,*rchild;//分别指向左右孩子
}BinTNode;
typedef BinTNode * BinTree;
阅读程序,并回答下列问题。
void f31(BinTree T)
{if(T!=NULL)
{printf("%c",T->data);
f31(T->rchild);
f31(T->lchild);
}
return;
}
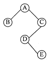
(1)设二叉树T如图所示,给出执行f31(T)的输出结果。

(2)给出该算法的时间复杂度。