笔果题库
上海市
四川省
广东省
湖南省
湖北省
江苏省
浙江省
安徽省
福建省
江西省
山东省
河南省
甘肃省
澳门特别行政区
青海省
内蒙古自治区
广西壮族自治区
新疆维吾尔自治区
西藏自治区
宁夏回族自治区
中国台湾省
香港特别行政区
北京市
陕西省
云南省
贵州省
海南省
黑龙江省
吉林省
辽宁省
山西省
河北省
重庆市
天津市
本科
专科
biguotk.com
首页
笔果教务系统
APP下载
视频课程
题库
兼职编辑
高等数学(一)
免费题库
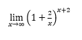
求下列极限:
查看最佳答案
上一题
下一题
深圳市笔果教育科技有限公司
粤ICP备17094429号-1
自考笔果题库APP
更优刷题体验,尽在笔果APP!
立即下载